FAQ - Dashboards de Vendas
Encontre respostas para perguntas frequentes e situações relacionadas aos Dashboards de Vendas da Guru. Esses dados facilitam uma visão consolidada do desempenho das suas vendas e ajudam a analisar volume, comportamento, origens, produtos, formas de pagamento e participação de afiliados.
Nessa página:
Gerenciamento das informações das vendas
Indicadores de Vendas
Evolução das Vendas
Comportamento das Vendas por Período
Performance dos Meios de Pagamento
Análise das Processadoras de Pagamento
Origem declarada do cliente
Conversões por Forma de Pagamento
Distribuição de Vendas por Origem
Desempenho de Planos (Produtos)
Motivos de recusa de pagamento
Desempenho de Afiliados
Gerenciamento das informações das vendas
Nesta seção, você encontra orientações sobre como filtrar e exportar as informações exibidas no Dashboard de Vendas. Dessa forma, você ajusta os dados conforme o período desejado e utiliza recursos que facilitam a análise do seu negócio.
- Como posso filtrar os dados do Dashboard de Vendas?
Você pode filtrar as informações do Dashboard de Vendas no admin da Guru. Para isso, clique no menu lateral, acesse Dashboards e, em seguida, selecione Vendas.
Ao aplicar os filtros, você poderá analisar:
Tipo de data de venda e período: os filtros por Data e Período definem se a busca deve considerar a data de aprovação ou criação de venda e o intervalo de tempo da análise;
Identificação da venda: os filtros Contas e Moeda definem as vendas por contas ou por moeda utilizada na transação;
Produto e produtores: os filtros Produto e Produtores viabilizam a análise em vendas vinculadas a determinado produto ou grupo de produtos específicos, além de selecionar o produtor desejado;
Meios de pagamento: os filtros Marketplace e Formas de pagamento definem as transações por marketplace ou por forma de pagamento utilizada;
Rastreamento: os filtros Leads, Vendas rastreadas, Usuários do rastreamento, Restringir pesquisa de R.P.P.C. por grupo, R.P.P.C. de leads, R.P.P.C. de vendas e R.P.P.C. de checkout definem as vendas associadas a rastreamentos de leads, vendas ou checkout;
Afiliação: os filtros Vendas com afiliação, Nome do afiliado e Afiliação permitem buscar por vendas com ou sem afiliação, filtrar por nome do afiliado ou código da afiliação.
Por padrão, o Dashboard de Vendas mostra os resultados dos últimos 28 dias (4 semanas). As métricas consolidadas nesse intervalo são calculadas automaticamente. Para analisar um período diferente, você pode filtrar o dashboard por período, utilizando os períodos pré-definidos ou selecionando a data desejada*.
Assim você pode analisar desde um subconjunto específico de vendas até períodos maiores para acompanhar tendências e evolução da sua base.
*As datas preenchidas devem compreender o intervalo máximo de 1 ano.
- Como posso exportar os dados do Dashboard de Vendas?
Para exportar os dados do Dashboard de Vendas, acesse o menu lateral no admin da Guru, clique em Dashboards e, em Dashboard de Vendas, clique em PDF no topo da página. Após alguns minutos, aparecerá o Download em PDF para Salvar.
Se desejar exportar os dados do seu dashboard, acesse Gerenciar Dashboards de Vendas.
- Com que frequência os dados do Dashboard de Vendas são atualizados?
Os indicadores, gráficos e métricas de desempenho exibidos no Dashboard de Vendas são gerados automaticamente à medida que as vendas são registradas na plataforma ou mudam de status.
Embora as informações do painel de vendas estejam sempre disponíveis a partir do momento em que você registra a primeira venda concluída, é importante notar que algumas informações do dashboard somente são atualizadas depois que a Guru recebe a notificação do processador de pagamento, e existe um cache de 5 minutos para a atualização.
Por padrão, o dashboard exibe os resultados dos últimos 28 dias, mas você pode aplicar filtros para analisar outros períodos.
Indicadores de Vendas
Entenda as métricas que detalham o resultado de suas transações verificando os indicadores de vendas, como o seu faturamento, panorama de vendas e itens vendidos e novos clientes.
- Quais indicadores são apresentados nesta seção?
A seção Métricas Gerais do Dashboard de Vendas apresenta dados do desempenho de vendas no período selecionado para que você possa acompanhar seus resultados financeiros e ter uma visão estratégica do seu negócio.
Os indicadores exibidos são:
Faturamento: a soma total de vendas válidas (com status
aprovadaecompleta) realizadas no período;Vendas: a quantidade de vendas válidas (com status
aprovadaecompleta) realizadas no período;Produtos: a quantidade de produtos (itens) vendidos - se refere ao número de itens a serem entregues para o cliente na venda, ou seja, se você realizou 3 vendas de um kit de 4 produtos, isto corresponde a um total de 12 produtos;
Clientes Novos: a quantidade de clientes que tiveram uma venda aprovada no período, dos quais esta é a primeira venda registrada na conta - ao aplicar o filtro por grupo ou produto especifico, a informação sobre os clientes novos irá exibir os compradores novos daquele produto, o que não é necessariamente um comprador novo, ou seja, um comprador pode aparecer como novo várias vezes;
Reembolsos: a quantidade, o valor total e percentual de vendas reembolsadas.

Para acessar mais informações sobre os indicadores exibidos, acesse a seção Métricas Gerais no Dashboards de Vendas.
- O valor total inclui vendas canceladas ou estornadas?
Não. Os indicadores exibidos na seção Métricas Gerais refletem a receita de vendas válidas e não incluem o valor de vendas que não foram concluídas, como vendas com status cancelada, expirada e ag. pagamento (aguardando pagamento).
Acesse e saiba mais sobre os status das vendas.
Para analisar todas as transações geradas (incluindo as que não se concretizaram), você pode consultar o gráfico Vendas por Status.
Evolução das Vendas
A seção Volume de Vendas apresenta, por meio de um gráfico, o comportamento do seu faturamento dia a dia no período selecionado. Esses dados facilitam a identificação de tendências, sazonalidades e impactos de campanhas específicas no seu negócio.
- Quais indicadores são apresentados nesta seção?
Os indicadores de desempenho exibidos na seção Volume de Vendas oferecem uma visão consolidada do desempenho das vendas no período selecionado.
Para te ajudar a entender o comportamento das vendas e apoiar análises estratégicas a partir de métricas-chave, esses dados apresentam:
Total em vendas: o valor total de todas as vendas realizadas no período;
Total líquido: o total líquido a receber, ou seja, descontando comissões de afiliados e taxas do marketplace - consideradas no cálculo se o marketplace enviar esta informação para a Guru, caso envie, essas taxas também são exibidas no detalhe da venda;
Percentual líquido: a porcentagem do total líquido das vendas realizadas no período;
Produtos vendidos: o número de produtos vendidos no período - a quantidade de produtos vendidos se refere ao número de itens a serem entregues para o cliente na venda, por exemplo, é possível realizar 3 vendas de um kit de 4 produtos, que serão no total 12 produtos;
Ticket médio: o valor médio de cada venda no período (total dividido pelo número de vendas) - o ticket médio é o resultado da divisão total das vendas, pelo número de transações dentro do período selecionado;
Lucro médio: o lucro médio das vendas realizadas no período, dividindo o total líquido pelo número de vendas - para calcular o lucro médio, é preciso dividir o total líquido pelo número de vendas.

Saiba mais sobre cada indicador de desempenho acessando a seção Volume de Vendas em Métricas exibidas nos Dashboards de Vendas.
- Por que o volume de vendas consta como zerado em dias específicos?
O volume de vendas pode aparecer como zerado em determinados dias no Dashboard de Vendas por alguns motivos específicos:
Filtros aplicados: por padrão, busca o dashboard com os dados dos últimos 28 dias - caso você tenha definido um período personalizado, o dia em questão pode estar fora do intervalo selecionado;
Transações abandonadas: o Dashboard de Vendas considera apenas vendas concluídas - portanto, se em determinado dia são realizadas apenas vendas abandonadas, o volume exibido será zero;
Renovações de assinaturas não contabilizadas: nos gráficos de Vendas por Hora ou Dias da Semana, as renovações de assinaturas não são contabilizadas - portanto, se em um dia específico houve apenas renovações, o volume pode aparecer zerado nesses gráficos;
Cache na atualização dos dados: algumas informações dependem da confirmação enviada pelo processador de pagamento e estão sujeitas a um cache de até 5 minutos.
Para analisar casos de vendas abandonadas, você pode filtrar a lista de vendas pelo status “abandonada”; para uma visão completa das renovações de assinaturas, você pode consultar o Dashboard de Assinaturas.
Em determinados casos, alterações de fuso horário podem redirecionar vendas feitas perto da meia-noite para dias adjacentes. Para obter informações de forma precisa, de acordo com o seu horário local, você pode configurar o fuso horário da sua conta.
- É possível comparar períodos diferentes?
Sim. Para isso, você pode aplicar filtros por período e analisar a distribuição visual no gráfico, ou pode exportar os dados do Dashboard de Vendas para análise e comparação externa.
Comportamento das Vendas por Período
Encontre respostas sobre quando e como as vendas acontecem. O Dashboard de Vendas da Guru traz as seções Vendas por Hora, Vendas por Dias da Semana e Vendas por Status, reunindo três perspectivas complementares: horário de conclusão, dia da semana e status do pedido. Dessa forma, você pode analisar padrões de compra e o desempenho operacional do seu negócio.
Nos gráficos Vendas por Hora e Vendas por Dia da Semana não são contabilizadas as renovações das assinaturas, pois estas ocorrem em um horário programado e geraria distorções no gráfico.
- Existe uma variação significativa no volume de vendas (Vendas por Status) em função da combinação de dias da semana e horários de pico? Como fazer essa análise?
Sim, a performance das vendas varia significativamente em função da combinação de dias da semana e horários de pico. Nesses casos, o comportamento do consumidor é previsível, e o volume de transações concluídas (com status aprovada) tende a ser maior nos momentos em que seu público está mais ativo.
Passo | Ação no Dashboard | Resultado estratégico |
| Use os gráficos Vendas por Dias da Semana e o mapa de calor Vendas por Hora para encontrar os períodos com a maior intensidade de cor (maior volume de novas vendas). | Isso estabelece o período de maior oportunidade de tráfego para sua operação. |
| Filtre o Dashboard para o período identificado no passo 1 e analise a seção Vendas por Status. | O percentual de vendas aprovadas no total gerado no momento de pico indica a eficiência do seu tráfego e checkout naquele momento. |
| Dentro do período de pico, observe o percentual de vendas com status | Se o volume de vendas com pagamento pendente for alto no pico, você pode intensificar o envio de recuperação de vendas¹ imediatamente após esse horário para garantir a conclusão do pagamento. |
| Compare os resultados dos horários de pico com os resultados dos horários de menor movimento, para calcular a diferença percentual de vendas aprovadas entre os períodos. | Essa comparação justifica a alocação do maior orçamento de mídia e o agendamento de comunicações (e-mail, lives) para os momentos de alta performance. |
*Saiba mais sobre os status das vendas.
¹ Para este tipo de envio, é possível realizar integrações como recuperação de vendas. Consulte a lista de integrações disponíveis na Guru.
- Como fazer uma análise conjunta dos gráficos Vendas por Hora, Vendas por Dias da Semana e Vendas por Status pode ajudar meu negócio?
A análise conjunta dos gráficos Vendas por Hora, Vendas por Dias da Semana e Vendas por Status permite identificar os períodos em que o seu cliente está mais propenso a realizar e concluir uma venda.
Para isso, você deve identificar os dias e horários de pico na seção Vendas por Hora e analisar a seção Vendas por Status nesse período para entender a qualidade do volume gerado.
- Como analisar os picos de vendas?
Os picos de volume mostrados nos gráficos de Vendas por Hora e Vendas por Dias da Semana funcionam como um calendário de oportunidade. Com essas informações, você pode alinhar as ações de marketing e recuperação de vendas exatamente nesses momentos para maximizar o número de vendas que chegam ao status aprovada.
Dicas da Guru:
Os horários de pico são ideais para concentrar o maior orçamento de mídia, pois há maior eficiência na conversão;
Fique atento ao status das vendas nos horários de pico - se houver um aumento nas vendas com status
ag. pagamento, verifique a necessidade de intensificar a recuperação de vendas imediatamente após esse período para converter as transações pendentes em vendas aprovadas.
Consulte a lista de integrações disponíveis na Guru para realizar integrações de recuperação de vendas.
Vendas por Hora
- Como interpretar o mapa de calor de Vendas por Hora?
A chave para leitura do mapa de calor de Vendas por Hora é a intensidade da cor do quadrado.
Isto é:
Cores mais escuras indicam os dias e horários em que foi realizado o maior volume de novas vendas no período filtrado; e
cores mais claras indicam menor volume de vendas.

Ações para aproveitar o mapa de calor
Com base nos melhores horários de venda, você pode tomar decisões estratégicas, como direcionar o maior investimento em anúncios e campanhas de tráfego pago para os dias e horários de pico e conversão - é possível integrar com plataformas de anúncios para criar campanhas automatizadas e otimizadas;
Pode gerenciar o envio de mensagens de oferta para que cheguem ao cliente quando ele está mais propenso a realizar a compra - ative e personalize os e-mails transacionais.
Para saber o volume exato de novas vendas em um dia e hora específicos, basta passar o mouse por cima do quadrado de interesse.
- Os horários exibidos consideram o meu fuso horário?
Sim, as vendas exibidas por hora consideram o fuso horário da sua conta.
Para obter informações de forma precisa, de acordo com o seu horário local, você pode configurar o fuso horário da sua conta.
Vendas por Dia da Semana
- Como os dados das vendas por dia da semana podem ajudar meu negócio?
Ao identificar os dias da semana em que sua operação gera maior volume de novas vendas, você pode concentrar seus esforços de marketing no período de maior conversão.
Na prática, você otimiza seus esfoços de marketing realizando lives, lançamentos de ofertas ou enviando e-mail marketing. Além disso, pode programar a ativação ou aumento de orçamento de anúncios pagos para coincidir com os dias de maior propensão à compra - para isso, é possível integrar com plataformas de anúncios para criar campanhas automatizadas e otimizadas.
Você pode utilizar os filtros do Dashboard de Vendas para visualizar o desempenho das vendas por dias da semana em determinado período.
Vendas por Status
- Quais status são exibidos na seção Vendas por Status?
O gráfico da seção Vendas por Status representa a proporção de todas as vendas realizadas no período desejado por status da transação*, incluindo: aprovada, cancelada, expirada, reembolsada, reclamada, ag. pagamento e boleto impresso.
Dica da Guru: Para consultar a porcentagem de cada status, você deve passar o mouse sobre o título desejado.
*É importante notar que este gráfico não contabiliza as renovações de assinaturas, pois estas ocorrem em um horário programado e a inclusão delas geraria distorções no gráfico.
Acesse e saiba mais sobre os possíveis status de vendas.
Performance dos Meios de Pagamento
Tire suas dúvidas sobre as formas de pagamento exibidas no Dashboard de Vendas. Com esses dados, é possível analisar como cada método de pagamento contribuiu para o volume total de vendas no período selecionado.
- Quais formas de pagamento são exibidas nesta seção?
Nesta seção, são exibidas as formas de pagamento efetivamente utilizadas pelos clientes nas vendas registradas no período selecionado, como:
cartão de crédito: pagamentos realizados por meio de cartão, com aprovação imediata ou após validações de segurança;
boleto bancário: pagamentos realizados por meio de boleto, com confirmação após compensação;
débito direto: transações com débito automático em conta;
Pix: pagamentos realizados via Pix.
Na Guru, é possível filtrar o Dashboard de Vendas para acessar informações específicas das formas de pagamento que deseja consultar.
- Como a análise de formas de pagamento pode impactar o meu negócio?
A análise das formas de pagamento no Dashboard de Vendas permite entender como os clientes finalizam suas compras e identificar oportunidades para aumentar a conversão e reduzir perdas de vendas.
Estratégias direcionadas: ao identificar as preferências dos clientes, você pode criar estratégias direcionadas para cada método - pode, por exemplo, incentivar meios com maior aceitação ou ajustar a oferta de pagamento conforme o comportamento do público;
Recuperação de vendas: um volume elevado de boletos pode indicar pedidos pendentes de confirmação - isto sugere uma demanda de campanhas de lembrete, remarketing ou automações de recuperação;
Comparação de taxas de aprovação: ao analisar as conversões por forma de pagamento, você consegue comparar a taxa de aprovação entre os métodos - com isso, pode identificar quais apresentam melhor desempenho e quais exigem ajustes, como otimização do checkout ou oferta de alternativas para evitar recusas.
Em resumo, a análise das formas de pagamento transforma dados em ações práticas para melhorar a experiência do cliente, aumentar a taxa de conversão e maximizar os resultados do negócio.
Se concluir que há muitas vendas abandonadas, pagamentos não concluídos, ou muitas vendas reprovadas por saldo insuficiente no cartão, considere oferecer outros métodos de pagamento ao cliente, integrando com outros processadores de pagamento.
- Boletos emitidos, mas não pagos, são contabilizados?
Não. Boletos emitidos que não foram pagos não são contabilizados como vendas na seção Formas de Pagamento. Apenas transações com status aprovado ou pago entram no cálculo dos valores e volumes exibidos no Dashboard de Vendas.
- Tentativas de pagamento recusadas influenciam os desempenhos por forma de pagamento?
Não. Tentativas de pagamento recusadas, independentemente da forma de pagamento utilizada (cartão, Pix ou boleto), não são contabilizadas como vendas na seção Formas de Pagamento.
Apenas transações aprovadas, que efetivamente geraram vendas, são consideradas.
As tentativas recusadas são analisadas separadamente em seções específicas do Dashboard de Vendas, como Aprovação por Forma de Pagamento e Motivos de Recusa.
Análise das Processadoras de Pagamento
Encontre respostas para suas dúvidas sobre o desempenho e a distribuição de suas vendas entre os diferentes marketplaces (processadores de pagamento) utilizados em sua operação. Com esses dados, você pode avaliar a performance e identificar qual processadora está gerando maior proporção de vendas e receita; otimizar a distribuição do tráfego do checkout; e entender o impacto de cada marketplace no seu faturamento, facilitando a gestão de custos.
- O que representa o gráfico de marketplaces e como ele pode me ajudar a potencializar resultados?
O gráfico de marketplaces do Dashboard de Vendas representa a proporção das vendas realizadas em cada processador de pagamento.
Você pode utilizar esses dados para:
priorizar a distribuição - direcionar mais tráfego para o marketplace que demonstra maior taxa de sucesso;
otimizar custos - avaliar se as taxas cobradas pelo processador de melhor desempenho compensam as de outros, garantindo maior receita líquida.
Conheça os processadores de pagamento disponíveis na Guru.
- Posso comparar diferentes processadores de pagamento no mesmo período?
Sim. O gráfico de marketplaces do Dashboard de Vendas permite comparar o desempenho dos processadores de pagamento no mesmo intervalo de datas. Com isso, facilita a avaliação de qual processador apresenta melhores resultados em termos de aprovação e volume de vendas.
- O que a Guru considera nos dados exibidos para cada marketplace?
Para cada marketplace, a Guru considera as informações retornadas no momento da tentativa de pagamento, incluindo volume de tentativas, transações aprovadas e status das vendas.
Esses dados são utilizados para consolidar os indicadores exibidos no Dashboard de Vendas e permitem comparar o desempenho entre as diferentes plataformas utilizadas.
Você pode filtrar as informações do Dashboard de Vendas por marketplace para visualizar informações específicas.
Origem declarada do cliente
Encontre respostas sobre a origem de descoberta dos seus clientes de forma diferente aos rastreamentos técnicos: a autoatribuição fornece um insight valioso sobre os canais que levaram o cliente até você, como declarado por ele mesmo.
- O que significa a autoatribuição de vendas?
A seção Autoatribuição do Dashboard de Vendas da Guru refere-se às informações sobre a origem de como seus clientes encontraram seu produto ou serviço, informada pelo próprio cliente durante o processo de compra ou cadastro.
Acesse e configure a autoatribuição na fatura no seu Checkout Guru.
- Como ativar a autoatribuição de vendas?
Para ativar a autoatribuição no Checkout Guru, você deve acessar o admin da Guru para habilitar essa opção. Ao configurar, poderá informar o texto da pergunta que o comprador verá na fatura e definir as respostas que o comprador poderá selecionar.
Se você deseja definir opções de autoatribuição na fatura, deve habilitar essa opção no admin acessando Configurações, em seguida, Checkout, e em Aparência, ative a opção Autoatribuição na fatura.
A configuração da Autoatribuição pode ser feita a nível global, a nível de produto ou a nível de oferta.
- Por que algumas vendas não possuem autoatribuição?
Algumas vendas não possuem autoatribuição porque não foram configuradas, já que não aparecem automaticamente no checkout.
Se você deseja definir opções de autoatribuição na fatura, deve habilitar essa opção no admin acessando Configurações, em seguida, Checkout, e em Aparência, ative a opção Autoatribuição na fatura.
A configuração da Autoatribuição pode ser feita a nível global, a nível de produto ou a nível de oferta.
- A autoatribuição substitui o dado de origem enviado pelo checkout?
Não. A autoatribuição é a forma do cliente indicar como conheceu seu produto ou negócio. O dado oficial de origem continua sendo o enviado pelo mecanismo padrão de origem de tráfego, como informado nos rastreamentos.
No Dashboard de Vendas, você também pode consultar Vendas por Origem para analisar as vendas agrupadas por origem de tráfego.
- Qual é a utilidade das métricas de autoatribuição?
A análise das métricas de autoatribuição ajudam a entender quais canais os próprios clientes declaram como origem da compra, capturando essa informação diretamente no momento da transação.
Através delas, é possível:
Identificar a fonte informada pelo comprador: para isso, deve configurar uma pergunta no checkout (como “Como você conheceu nosso produto?”) - com isso poderá criar mensagens mais direcionadas;
Complementar os dados de rastreamento: oferece a percepção declarada pelo cliente, independentemente de links de rastreamento, UTMs ou R.P.P.C.s.
Em resumo, a autoatribuição enriquece a análise de origem ao registrar diretamente o que o cliente identifica como o canal que o levou à compra.
Conversões por Forma de Pagamento
A seção Aprovação por forma de pagamento mostra a relação entre tentativas de compra e vendas concluídas para cada forma de pagamento, destacando quais métodos convertem melhor.
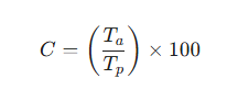
- Como a taxa de conversão é calculada?
A taxa de conversão de aprovação por forma de pagamento é calculada com base na relação entre o número de transações aprovadas e o total de tentativas de pagamento realizadas com cada forma de pagamento no período selecionado.

C: taxa de conversão (em porcentagem)
Ta: total de transações aprovadas;
Tp: total de tentativas de pagamento.
O cálculo considera todas as tentativas registradas no checkout, incluindo aprovações e recusas, permitindo comparar o desempenho e o nível de aprovação entre os diferentes meios de pagamento.
- O que uma taxa baixa de conversão pode indicar?
Uma taxa de conversão baixa pode indicar pontos de fricção em diferentes etapas do funil de vendas, especialmente no momento da finalização da compra.
Com base nas métricas do Dashboard de Vendas, esse cenário pode estar relacionado a:
Comportamento e decisão do cliente no checkout: um volume elevado de vendas com status como
ag. pagamentoouabandonadapode indicar indecisão ou falta de estímulos suficientes para a conclusão da compra - para isso, você pode ativar estratégias de recuperação de vendas reforçar benefícios e incentivar o uso de formas de pagamento com confirmação imediata;Recusas de pagamento: um número significativo de transações recusadas por falhas de autenticação, por exemplo, pode indicar necessidade de ajustes nas formas de pagamento oferecidas - para isso, você pode diversificar os métodos de pagamento disponíveis, integrar mais de um processador (marketplace) e acompanhar os motivos de recusa para ajustes direcionados;
Necessidades de melhoria no fluxo de pagamento: o abandono durante o processo de pagamento pode sugerir pontos de melhoria na experiência do usuário - para isso, você pode priorizar o direcionamento do tráfego para a opção com maior taxa de conversão.
Ao identificar uma taxa de conversão baixa, você pode fazer uma análise em conjunto das seções Vendas por Status, Formas de Pagamento, Aprovação por Forma de Pagamento e Motivos de Recusa para identificar a principal causa e direcionar ações para otimizar o desempenho e reduzir perdas no funil de vendas.
Distribuição de Vendas por Origem
Encontre perguntas para compreender as origens de suas vendas considerando informações enviadas pela plataforma ou checkout, como campanhas, tráfego direto, links de afiliados ou origens internas.
- Quais métricas são exibidas nas Vendas por Origem?
Na seção Vendas por Origem são apresentadas métricas que permitem analisar o desempenho das vendas de acordo com a origem de tráfego ou canal de aquisição.
São elas:
Origem: canal associado à venda a partir dos dados de rastreamento - para saber a origem das vendas, será preciso ter rastreamentos criados; caso não tenha rastreamentos ativos, a origem irá informar “sem rastreamentos”;
Vendas: a quantidade de vendas;
Produtos: a quantidade de produtos vendidos - quantidade de produtos vendidos se refere ao número de itens a serem entregues para o cliente na venda, por exemplo, é possível realizar 3 vendas de um kit de 4 produtos, que serão no total 12 produtos;
Total de Vendas: o valor do total de vendas (faturamento bruto);
Total de Afiliados: o valor total da comissão paga aos Afiliados;
Total líquido: o valor total líquido, que tem a receber (descontadas todas as despesas/comissões);
Valor líquido: o percentual do total líquido que terá a receber.
Essas métricas permitem comparar o desempenho entre diferentes origens e identificar quais canais geram maior impacto nos resultados do negócio.
- Como são agrupadas as origens das vendas?
As vendas são agrupadas pela origem identificada no momento da conversão.
Quando existe um link de R.P.P.C., a origem exibida é a fonte definida no cadastro desse link; caso não haja um R.P.P.C. associado, o sistema utiliza outras informações enviadas pelo checkout, como dados de referência da transação ou a origem informada pela própria plataforma de venda.
Quando não é possível identificar a origem, a venda é agrupada como “sem rastreamentos”.
- As UTMs influenciam as origens das vendas?
Sim, as UTMs influenciam diretamente o rastreamento e a identificação das origens das vendas exibidas no Dashboard de Vendas da Guru.
Esses parâmetros são adicionados aos links de checkout e permitem acompanhar o caminho do usuário até a finalização da compra. Na Guru, as UTMs são utilizadas principalmente nos links de Rastreamento Ponto a Ponto de Conversão (R.P.P.C.), possibilitando a visualização das vendas no Dashboard de Vendas e a análise do desempenho por canal, campanha ou anúncio.
Para saber a origem das vendas, é preciso ter rastreamentos criados. Caso não tenha rastreamentos ativos, a origem irá informar “sem rastreamentos”.
Para a análise da seção Vendas por Origem, é fundamental a configuração correta das UTMs nos seus links de R.P.P.C. Acesse e saiba mais sobre o uso desse parâmetro nos rastreamentos.
Desempenho de Planos (Produtos)
Encontre respostas sobre a seção de desempenho de produtos (Planos mais vendidos), que mostra quais itens geraram maior volume ou valor de vendas no período, destacando quais produtos têm melhor desempenho e contribuem de forma mais significativa para a sua receita.
- Como o ranking de planos mais vendidos pode auxiliar meu negócio?
O ranking permite identificar quais produtos geram maior volume de vendas e concentram os melhores resultados. Com essa informação, é possível direcionar estratégias de marketing, priorizar campanhas, ajustar ofertas e entender quais produtos têm maior aceitação junto ao público.
Você pode filtrar o Dashboard de Vendas por produtos para visualizar informações sobre planos específicos.
- Produtos de transações recusadas são listados nos Planos mais vendidos?
Não. Apenas vendas aprovadas são consideradas na lista de produtos mais vendidos. Produtos associados a transações recusadas, canceladas ou não concluídas não entram no cálculo do ranking.
Para visualizar as transações recusadas, você pode consultar a seção Motivos de recusa.
Para melhor visualização e análise de dados, é possível exportar a planilha de Planos mais vendidos clicando no botão CSV no canto superior direito da seção.
Motivos de Recusa de Pagamento
Identifique padrões recorrentes nos motivos de recusa das compras de seus clientes e veja alternativas para ajudá-los a facilitar as transações.
- Como usar os motivos de recusa para melhorar minha taxa de aprovação?
Para melhorar sua taxa de aprovação, você pode utilizar os motivos de recusa apresentados no Dashboard de Vendas e tomar algumas medidas para reduzir essa questão, como:
Otimizar e diversificar - se a taxa de aprovação de cartão for baixa, considere diversificar as opções, promovendo outros métodos de pagamento como o boleto bancário, por exemplo;
Recuperação de Vendas - você pode configurar um autoresponder ou uma ferramenta de recuperação de vendas para incentivar o cliente a tentar um método de pagamento diferente.
Se você deseja saber mais sobre os motivos de recusa, acesse o Dashboard de Vendas.
- Quais são os motivos de recusa mais comuns?
Alguns dos motivos mais recorrentes estão insuficiência de fundos, dados inválidos, falhas de autenticação, bloqueios antifraude e instabilidades no processador de pagamento.
Entre eles, estão:
Recusas relacionadas a cartão de crédito: dados incorretos, limite indisponível, transação não autorizada pela instituição financeira, falha de comunicação com o banco, cartão expirado ou bloqueado;
Recusas por segurança e validação: o checkout da Guru também aplica validações automáticas para proteger o ambiente de pagamento, e algumas recusas ocorrem quando o token do reCAPTCHA não pode ser validado - por questões como recarregamento da página durante o pagamento, permanência prolongada com a aba inativa, instabilidade na conexão e uso de bloqueadores de scripts ou anúncios.
Você pode consultar o motivo específico de cada recusa no painel de Vendas. Para isso, no admin da Guru, acesse Vendas no menu lateral. Em seguida, abra os detalhes da venda recusada e consulte o campo Motivo, que exibe o retorno enviado pelo processador.
Se necessário, você pode aprofundar sua análise cruzando essas informações com os dados das formas de pagamento utilizadas, ou com relatórios específicos das transações, como o Relatório de Vendas.
Desempenho de Afiliados
Neste tópico você encontra respostas sobre a seção Top Afiliados, onde é possível visualizar o ranking dos afiliados que mais geraram vendas no período selecionado e identificar quais parceiros são responsáveis pela maior parte da sua receita. Essa visão ajuda a entender quem impulsiona seus resultados e onde concentrar esforços de relacionamento e estratégia.
- Quais dados são exibidos no ranking de afiliados?
O ranking apresenta a lista dos 10 afiliados com melhor desempenho no período selecionado, permitindo identificar rapidamente quais parceiros geraram maior impacto nas vendas.
Os afiliados são ordenados a partir do maior volume de vendas ou faturamento, e os dados apresentados no ranking são:
Nome: o nome do afiliado cadastrado;
Produto: o produto vendido associado ao afiliado;
Vendas: o número de vendas do afiliado;
Produtos: o número de produtos associados ao afiliado que foram vendidos - a quantidade de produtos vendidos se refere ao número de itens a serem entregues para o cliente na venda, por exemplo, é possível realizar 3 vendas de um kit de 4 produtos, que serão no total 12 produtos;
Total de Vendas: o valor total de todas as vendas (faturamento bruto);
Total de Comissões: o valor total de comissões pago ao afiliado;
Comissão: o percentual do total líquido pago ao afiliado.
Essas informações auxiliam em uma visualização rápida quais parceiros estão trazendo mais resultados e quais precisam de acompanhamento mais próximo.
Para melhor visualização e análise de dados, é possível exportar a planilha do seu ranking de afiliados clicando no botão CSV no canto superior direito da seção.
- Como posso usar as informações do ranking de afiliados na gestão do meu negócio?
O Dashboard de Vendas, por meio da seção Top Afiliados, ajuda você a gerir o seu programa de afiliados.
Você pode utilizar estas informações para ações estratégicas como:
Avaliar o total de vendas e as comissões: poderá identificar quais afiliados merecem maior investimento ou bonificação, por gerarem maior fatia de receita, e avaliar a rentabilidade de cada um para que garantir que a comissão esteja alinhada com a margem de lucro e o volume de vendas gerado por cada parceiro;
Estreitar o relacionamento e oferecer uma capacitação direcionada: você pode fortalecer a parceria com os melhores afiliados para que aumentem ainda mais as vendas e promovam outros produtos do seu negócio - além de oferecer apoio aos afiliados com potencial que estão fora do ranking, para que recuperem a posição e sejam mais lucrativos;
Analisar os produtos: poderá verificar quais produtos são mais vendidos por determinado afiliado e utilizar esse insight para direcionar as divulgações e promoções de itens específicos.
Assim, a seção Top Afiliados auxilia você no processo de gestão de performance, transformando os dados em ações efetivas visando a lucratividade do seu negócio em colaboração com os afiliados.
Para melhor visualização e análise de dados, é possível exportar a planilha do seu ranking de afiliados clicando no botão CSV no canto superior direito da seção.
- Quais vendas são consideradas no ranking de afiliados e por que isso é importante para o meu negócio?
O ranking de afiliados disponível no Dashboard de Vendas é uma ferramenta estratégica que classifica os parceiros que mais geraram receita para o seu negócio em determinado período.
Com base nesses dados, você pode:
Estreitar vínculo com afiliados de alto desempenho - poderá ampliar parcerias e oferecer oportunidades de crescimento aos afiliados que geram maior receita;
Monitorar a performance continuamente - poderá identificar quedas de desempenho e agir rapidamente para recuperação de resultados.
Assim, o ranking de afiliados se torna um recurso essencial para otimizar resultados e escalar sua estratégia de vendas por parceiros.
Apenas vendas com pagamento confirmado, ou seja, com status aprovada ou completa, são consideradas no ranking.
- Por que um afiliado não aparece no ranking?
Um afiliado pode não aparecer na lista de Top Afiliados no Dashboard de Vendas porque o ranqueamento considera apenas critérios específicos de vendas válidas e um período de tempo determinado.
Assim, os principais motivos são:
Status da venda não qualificado: o ranking contabiliza somente vendas com pagamento aprovado e concluído - ou seja, vendas em outros status – pendente, cancelada, expirada ou abandonada – não entram no cálculo;
Período filtrado: por padrão, o Dashboard de Vendas exibe dados dos últimos 28 dias - portanto, se as vendas válidas do afiliado ocorreram fora desse intervalo, elas não serão consideradas, a menos que o filtro de datas seja ajustado;
Limite do ranking: a seção exibe apenas os 10 afiliados com maior volume de vendas válidas (
aprovadaecompleta) no período selecionado.
Para verificar o desempenho de um afiliado fora do Top 10 Afiliados, você pode utilizar os filtros do Dashboard de Vendas para selecionar o afiliado e o período que deseja consultar.